我要登录
15801717291
首页
所属类别:
细胞活性分析
所属品牌:
elabscience
水溶性长臂生物素标记试剂盒 E-LK-B008A
市场价格
¥7900
经销商价
¥7900
所属品牌
伊莱瑞特
货号
E-LK-B008A
最小单位
产品库存
现货
0
商品介绍
蛋白标记 (适用于10KD~30KD蛋白的标记)
包装单位
数 量
温馨提示:我公司实验室产品会根据市场需求进行更新,产品详情图片仅供参考,以实际收到货物为准。
产品介绍
Elabscience
?
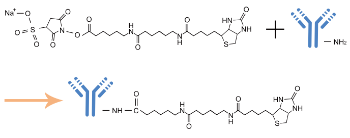
水溶性长臂生物素标记试剂盒提供了标记所需的全部试剂,能简单有效地对抗体和其他含有伯氨基(NH2-)分子的蛋白标记。
产品应用
蛋白标记 (
适用于10KD~30KD蛋白的标记
)
检测原理
标记基团
Sulfo-NHS-LC-LC-Biotin
Storage
该产品可在2~8°C/-20°C避光条件下保存12个月,具体试剂组分的保存条件请参考说明书。
Shipping
冰袋
Expiration date
12个月